|
Elasticity is the property which have some solids
which recovers their initial form after being deformed (in some limit)
by the application of a force.
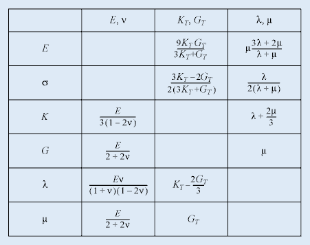
The couple modulus of compressibility , KT, modulus of rigidity,
GT, is classically used in logging to describe the elastic
behavior of the rocks. Other couples of variables can describe elasticity
as the Young modulus and the coefficient of Poisson (E, )
or the two coefficients of Lamé ( , ).
the table hereafter shows the correspondences between these various modules.
Table of constant
|